First Encounters
I bought psychedelic mushrooms for the first time in grade 10 in the cafeteria of my high school. A week before, I’d asked a classmate who knew where to get stuff if he could, well, get me stuff. He seemed incredulous, but a week and twenty dollars later, there they were, 1.5 grams worth of wrinkly grey-brown mushrooms in a clear ziplock bag.
I had come across the concept of psychedelic mushrooms a few months before, after skimming a WIRED article about the benefits of microdosing for chronic depression and anxiety.
After recently coming out of a difficult period of dealing with a loved-one in a deeply depressive time of their life, I recognized that traditional prescription drugs - quetiapine and lorazepam - were treating the symptoms of depression and not the disease. I saw these “acceptable” drugs shutting down the essence of what made a person a person by blocking cognition and memory - a chemical lobotomy that left a barely walking, barley talking shell behind. I was searching for a way to help this person make significant positive, long-term changes to their mental state, and I was convinced magic mushrooms were the answer.
A underpass I encountered while tripping on mushrooms
After acquiring my baggie of mushrooms, I chucked them in my closet, and, as my loved-one’s depression improved as a result of environmental changes, I got less gung-ho about the need to propose these plants as a solution. However, I never forgot about that bag. The mushrooms travelled with me to my first year dorm and sat on a shelf for a couple months, until, four years after I first traded twenty bucks for that ziplock bag, me and my roommate mixed them together with some new mushrooms we’d bought online, and experienced our first psychedelic trip.
Now, with several trips under my belt, I’d like to chat about the history of mushrooms, the science behind their effects, and what to do when you’re tripping.
The History
Magic mushrooms have been used in rituals and ceremonies as far back as 6,000 years ago, with some of the earliest examples being from the Aztecs and Mayans. Mosaics and tableaus unearthed by archeologists thousands of years later all refer to similar experiences - divinatory, wonderous, and healing (descriptors that continue to be used in mushroom culture today). As the long arm of Christian and Catholic colonists swept across South America, traditional Indigenous practices were outlawed, leading to minimal (documented) psychedelic plant usage up until the 1960s.
Around this time in America, Timothy Leary - a Harvard professor and the godfather of psychedelics and the hippie counterculture - travelled to Mexico to experience psilocybin mushrooms, a pilgrimage which would be made by in the future by authors, artists, and thinkers looking to expand their consciousness.
- Leary was one of the most polarizing public figures during the Vietnam war and hippie era of the USA. Allen Ginsberg described him as “a hero of American consciousness”, while Nixon called him “the most dangerous man in America”.
- As a professor, Leary conducted the first experiments on the therapeutic effects of LSD and psilocybin (which was legal at the time). However, his scientific results were questioned, as he took psychedelics himself along with his subjects and pressured students to join in.
- The phrase “turn on, tune in, drop out” was coined by Leary.
One of the thinkers influenced by Leary was Andrew Weil, who entered Harvard University in 1960 as an undergraduate majoring in biology. I first encountered Weil’s works in the form of his book, The Marriage of the Sun and Moon. There, he describes travelling throughout South America, collecting information about Indigenous medical plants and healing, trying new natural psychoactive substances along the way.
Andrew Weil (right) in 2021 at the University of Arizona
Weil’s viewpoints on traditional pharmaceuticals immediately resonated with my own. Throughout the book, he presents examples of substance use in traditional South American cultures, for example, the chewing of coca leaves by farmers to help them work through the day. He then analyzes what happens when you isolate compounds from nature, presenting the idea that the act of making a pure and concentrated substance from a natural compound also concentrates that compound’s addictive and harmful properties (for example, cocaine).
Another one of Weil’s central tenants on altered states of consciousness is that you can get there without the drug. A great example he gives is that mangoes have been used by mystics for millennia to unify conscious and subconscious minds through a type of ecstasy of the mouth. There’s a hilarious passage where he goes on, at length, about his borderline addiction to mangoes, and the mind-altering experiences they can provoke.
Several pounds of mind-altering drugs
Much of the modern stigma behind psychedelic substances originates from President Nixon inaugurating the “war on drugs” in 1971, signing the Controlled Substances Act which placed psychedelia substances (as well as marijuana) in the same class as heroin, cocaine, and meth.
- As we’ll see in the next section of this post, Nixon didn’t create these legal classifications based on science, instead, he designed a law to persecute hippies and black folks by targeting their drugs of choice.
The government of Canada, in particular, BC, is ahead of the curve compared to the rest of the world’s psilocybin legalization efforts. Presently, BC has decriminalized psilocybin, meaning that while technically still illegal, the police won’t prosecute you for its use and sale. Similar to the state of marijuana in the province prior to federal legalization, there are many grey-market in-person and online sellers of psychedelic substances.
Zoomers on Vancouver’s Granville street has been in operation for several years
Similar Substances
Adjacent substances in cultural use and chemical effect to magic mushrooms are:
- Ayahuasca: South American psychoactive beverage, traditionally used by Indigenous/folk cultures in spiritual ceremonies.
- DMT: Popularized by Gaspar Noé’s film “Enter the Void”. Breakthrough, death, aliens, a lifetime lived in ten minutes. Smoke sitting down, and definitely not in the bath.
- LSD (Acid): What I’ve described as “metallic mushrooms” - rose to notoriety at the same time as mushrooms during the hippie movement. First synthesized in 1938 by Albert Hoffmann.
In the mid 2010s, a new psychedelic renaissance began to emerge as more and more scientists got studies in involving psychedelic substances approved. These studies followed a similar trend, pairing a single therapist-supervised session with a psychoactive compound with several months of follow-up therapy sessions. Some prominent areas of study related to the application of psychedelic substances such as psilocybin or ketamine are:
- helping terminal cancer patients accept death
- assisting veterans in overcoming their PTSD
- alleviating chronic depression, anxiety, and OCD
In the next section, we’ll talk about what physically makes psychoactive compounds useful in exploring human consciousness.
The Science
Magic mushrooms break down barriers between different parts of the brain, facilitating communication between neural pathways which would normally never interact with each other. Some practical effects of this barrier-breakdown are:
- Synesthesia (hearing color, tasting sound)
- Hallucinations
- Profound spiritual realizations
Brain patterns from left: placebo and right: magic mushrooms. Source
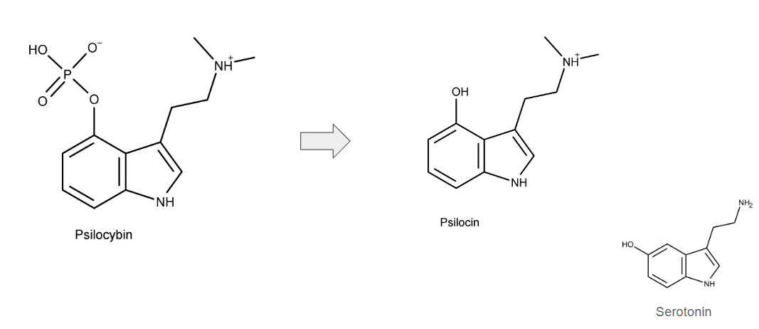
The psychedelic compound in magic mushrooms is psilocybin, which is the prodrug of psilocin (4-OH-dimethyltryptamine). This means that when our stomach acids break down psilocybin, they remove the phosphate group on psilocybin, creating psilocin, a lipid-soluble compound that’s easily absorbed in the intestines. Because it’s lipid-soluble, it can cross the blood-brain barrier, where its effects take hold.
What About Addiction?
As there is no chemical reward center (ex. dopamine) in the brain that psilocin stimulates, psilocybin mushrooms are not chemically addictive. In fact, due to the long half-life of psilocin in your body, it takes about three weeks for your body to “reset” its tolerance - you would need to take a unfeasibly large amount of mushrooms the day after a trip to be able to experience the full effects again.
Source of following information
Note the structural similarity between psilocin and serotonin (bottom right corner) - this allows psilocin to bind to the same receptors that serotonin binds to (this is key).
A key receptor in the brain is the serotonin receptor 5-HT2A. Psilocybin’s effects come from the fact that psilocin is a 5-HT2A agonist (psilocin activates the receptor by binding to it). The binding of psilocin to the 5-HT2A receptor stimulates the emission of an enzyme called phospholipase C.
Phospholipase C causes a cascade of reactions in the brain, the final result of which is increased production of glutamate. Glutamate is the brain’s most abundant neurotransmitter, the increase of which leads to (among other things) an increase in prefrontal cortex activity.
Note
This cascade of reactions from phospholipase C being created activates other areas of the brain as well, for example, decreasing glutamate levels in the hippocampus. This decrease in hippocampal glutamate decouples regions around the hippocampus, resulting in temporary loss of access of autobiographical information - a fancy way of describing ego death.
The activation of glutamate networks also increases brain-derived neurotrophic factor (BDNF). BDNF is a molecule involved with brain growth and maintenance, specifically related to learning and memory.
- In those with chronic depression, hippocampal BDNF levels are reduced.
- BDNF normally increases during activities like exercise, with increased levels linked to increased neuroplasticity.

All these chemical changes (and many more that haven’t been fully characterized) disrupt the normal organization of the brain, leading to regions of the brain that wouldn’t normally interact being connected and able to share information (an increase in cortical entropy).
Effects on Treatment Resistant Depression (TRD) It’s exactly this increase in brain network connectivity that helps patients better process traumatic, depressive, and anxious experiences. Folks with TRD have negative thought patterns that are entrenched over years or decades - increasing the connectivity between regions of the brain allows the consciousness to “break out” of these existing neurological pathways and create new ones.
- This is why psilocybin treatment for treatment-resistant depression is administered with a therapist to guide the session and constructively develop these new ideas and connections within the patient
- Emerging studies on the results of psilocybin for treatment-resistant depression report that the majority of patients’ levels of anxiety and depressive symptoms decreased by at least 50% one week after treatment and that this effect persisted for up to three months.
Psilocybin is not a magic bullet for mental health, however, the field of psychotherapy is emerging at an extraordinary pace, and with it, more funding and studies will be undertaken. For now, the results that psilocybin can partially cure treatment resistant depression give me hope that in the coming years, psychedelics like psilocybin will positively revolutionize how the world treats mental health conditions and unlock more of the mysteries of the human brain.
The Trip
So, you’ve decided to do mushrooms. How should you go about it?
Dosage
- 0.25g: A microdose.
- 0.5g - 1g: For someone who isn’t an experienced marijuana user (or someone who’s a “lightweight” in general).
- 1g - 1.5g: Someone’s who can handle themselves around substances, or if you’re an experienced mushroom user but want a less visual or intense trip.
- 2g - 3g: Emotionally intense, with visuals starting to kick in harder.
- >3g: Wouldn’t recommend it unless you’re in a very safe environment, or you’re looking to discover ego-death.

Dosages don’t depend as much on body weight as marijuana or alcohol, and are more based on brain chemistry. You won’t know your tolerance to psychedelics until you try them for the first time.
Warning
Avoid Penis Envy mushrooms. They’re stronger than regular strains of mushrooms, and are less suited to beginner (or even experienced) users. In general, research your strain before you buy. Typical strains are Golden Teachers and Blue Meanies.
An average price for mushrooms is ~$10 dollars/gram. You can purchase from in-person dispensaries (more expensive) or online (cannabudpost.to recommended). There isn’t a street market for mushrooms, as they’re non-addictive. This also means that they’re much less likely to be laced with other dangerous substances. However, I’m always a big advocate for testing your drugs, so if you don’t feel like you fully trust the source of your purchase, find a harm reduction center and get your drugs tested.
Set and Setting
The warmth of the space, the aroma in air, the security in trusted company… your environment is everything during your psychedelic experience. It isn’t about what you’re ingesting, it’s about how it’s being absorbed. Set and setting can be the difference between a good trip and a challenging one.
Set refers to your mindset, disposition, attitudes, and beliefs brought to the trip. Mushrooms will heighten your conscious and subconscious emotions, so prior to a trip, ensure that you’re in a healthy mental state, and take some time to reflect on how you’re doing, and what you hope to get out of the experience.
- If you’re intention of doing mushrooms is “I want to feel something” or “I want to hallucinate”, I’d start with a small/micro dose.
You can prepare your “set” by:
- Clearing your schedule
- Setting an intention
- Steadying yourself
- Surrendering to the experience
Journaling before, during, and after a trip is a great way to get in touch with your subconscious
Setting relates to the physical, social, or cultural environment you’re undertaking the experience in. Some general advice for a good trip:
- Trip in a small group of people you feel very comfortable with. This might be one or two best friends, a loved one, or even by yourself.
- If you’re looking to unpack some fraught emotional baggage during a trip, having a trip sitter (sober friend or therapist) is important to keep you grounded.
- Don’t trip in public. A busy street or restaurant is not the place you want to be peaking on mushrooms. Instead, forests or your home are the place to be.
- Don’t take mushrooms for the first time at a music festival (take acid!).
In general, pick a place free of distractions. Psychedelics will enhance your sense, and can make many inputs overstimulating. Wherever you are, know that you are safe.
In Vancouver, UBC is a great place to trip
Ingestion
There are hundreds of “teks” on different methods of ingesting mushrooms. The easiest way is to eat them, but mushrooms will hit harder if:
- you take them on any empty stomach (see point below for caution)
- they’re ground up
- they’re soaked in water
- they’re exposed to acids
This last point leads into the “lemon tek”, where you can make a fast and hard-hitting lemon-mushroom team. Also, the anecdote of eating oranges intensifying an ongoing trip is true for most psychedelic substances.
If you laughed at the oranges thing, try it! (Then we’ll see who’s laughing)
Eating While Tripping
I’d recommend eating a medium-sized balanced meal about 30-45 minutes prior to ingesting your mushrooms. Eating while on mushrooms (and psychedelics in general) is an extremely odd experience - at best, unpleasant, and at worst, vomit-inducing. Your tactile sense is heightened while tripping, meaning you can really feel the textures of the food you’re eating, which is not necessarily a good thing.
Of course, you need to keep up your body’s energy as you galivant through the woods. Fresh fruits, berries, and tree nuts are non-offensive, calorie-dense foods to keep you going through the comedown.
Tripping
Once your mental set is clear, your setting is organized, your trip sitter or friends are all present, and your mushrooms are weighed out, you can begin the experience.
The Come Up
Once you take your mushrooms, you’ll start to feel the first effects about 45 minutes in (if you just ate them raw). The initial effects are clammy hands, a fluttering in your stomach, and the feeling your heart is in your throat.
- Kind of like going up to public speak, minus the dilated pupils.
One thing that’s different about psychedelics compared to alcohol and marijuana is the fact that the feelings “come in waves”. During the come up, you might feel like it’s starting to kick in, and then the feeling will subside, and then ten to fifteen minutes later, the feeling might come on stronger than the first time for a bit longer, then subside, and so on. This is completely normal.
Is it ok to smoke on the come up? No. It’ll intensity the effects of the following experience exponentially.
Peaking
After about 1.5 to 2 hours, you will be at the peak. The peak is when the psychedelic effects are strongest, and can last for up to 3 hours. Depending on the dose and your brain chemistry, this will be an overwhelming time filled with observations about the nature of reality, life, society, and death, strong emotional outpourings of love or gratitude, and potentially some very challenging feelings of struggle, sadness, or remorse.
- Lean into the experience, no matter what you’re feeling. If you begin to feel negative emotions, chose to explore that section of your subconscious deeper, rather than forcing yourself towards a different path. A challenging trip is still a good trip!
Visuals
Mushrooms aren’t the most visual psychedelic at low doses (this is more acid), although at higher doses, things will get funky. Visuals will take the form of objects swaying like in a breeze, lightly breathing or pulsing, and patterns becoming more enhanced. You might look down at a pebbly sidewalk and see infinite depth and granularity, or a tree trunk may look extremely gnarled and mossy.
Tactile and auditory effects are less common, although always possible.
Visuals
Contrary to pop culture, it’s impossible to “hallucinate” things that simply aren’t there on mushrooms (I can’t speak for other drugs). Depending on the dose, your brain will simply amplify existing patterns, again, due to that breakdown of barriers within the brain.
This WON’T be you on mushrooms, or on any psychedelic drug. While visuals on different psychedelic drugs will have varying levels of intensity, try to get away from this cliched, uninformed “woah check out this crazy picture wow that’d go crazy on mushrooms, right!” mindset.
Feeling Overwhelmed
If at any point during the experience you feel overwhelmed or like you’re about to panic, keep in mind the facts:
- Mushrooms are non-toxic - it’s all in your head
- The peak will only last two to three hours at most - it’s all in your head.
- You’re in a safe space, there are no expectations of you, and at the end of the day, you’re tripping balls - something that’s been done for millennia - it’s all in your head.
Deep breathing and talking it out with your trip sitter can help.
- Don’t text your friends, don’t call your parents, don’t call 911 (unless someone is having an allergic reaction). They likely won’t know how to react, and their emotions will create a feedback loop with your own, heightening your panic.
I recall an experience I had with a friend - we’d taken a relatively low dose of mushrooms, and were sitting in his place during the peak. It was just us two, no other sounds, in the middle of a sunny afternoon, but I began to feel more and more anxious, like there was a ever-growing weight on my chest. I repeated some of the above points to myself, but at the end of the day, the thing that helped me get through that difficult wave was saying “hey, I’m feeling kind of scared and emotional right now, but I don’t know why. Can I just say whatever comes to my mind for the next couple minutes?”
That ended up being one of the most powerful experiences I’d had during a trip - we talked about our previous negative experiences on mushrooms, cried, and hugged each other. The moral being that holding yourself back from emotions or actions will only make you spiral - release yourself to the experience, and let it take you where it will.
Is it ok to smoke while peaking? No, you’ll rocket out of the lucid realm into hyperspace in a rather uncontrolled manner.
The Comedown and Beyond
Eventually, the peak will pass, and you’ll find yourself coming down in waves. After about six to eight hours, you’ll feel a pleasant afterglow, and a lightness in your chest. You can eat and go about your day again, even more naturally than on alcohol or marijuana - although I’d still recommend taking time for yourself to decompress.
Is it ok to smoke on the comedown? Yes, provided you’re not feeling anything but afterglow (no mental or visual effects). Be aware that once you smoke, visuals and emotional effects will return, sometimes quite strongly, for the duration of the marijuana you ingested (ex. smoking vs. edible).
Over the next week, continue to reflect on the emotions and thoughts you had while on mushrooms - this will help you reap the most benefits of the experience. Remember those studies I mentioned above - the patients felt the positive effects of the experience for up to three months after the fact. Long term intentional reflection will net you long term mental growth.
Finally, if you feel comfortable sharing your experience with your friends, family, and peers, let them know! The only way to reduce stigma about drug use, especially potentially therapeutic drug use, is to talk openly and honestly about your experiences with those substances.
Mindful tripping!
This WON’T be you on mushrooms, or on any psychedelic drug. While visuals on different psychedelic drugs will have varying levels of intensity, try to get away from this cliched, uninformed “woah check out this crazy picture wow that’d go crazy on mushrooms, right!” mindset.